YIHOO UV3529
| 青岛银荷普利新材料科技有限公司 | |||
| QINGDAO YIHOO POLYMER TECHNOLOGY CO. LTD. | |||
| TECHNICAL DATA SHEET | |||
| YIHOO UV3529 | |||
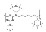
| 化学名称 | N,N'-双(2,2,6,6-四甲基-4-哌啶基)-1,6-己二胺与吗啉-2,4,6-三氯-1,3,5-三嗪的甲基化反应聚合物 | ||
| CAS 号 | 193098-40-7 | ||
| 分子结构 | ![]() | ||
| 产品形态 | 浅黄色或类白色粉末 | ||
| 规格说明 | 测试项目 | 标准 | |
| 熔点 (℃) | 95.00-120.00℃ | ||
| 干燥失重(%) | ≤0.5 | ||
| 玻璃化转变温度(℃) | ≥88℃ | ||
| 应用 | UV 3529是一种高性能高分子量受阻胺光稳定剂(HALS),具有着色性低、极低挥发性、低碱性的特点。其高分子结构进一步提高了抗迁移性,非常适合长期户外使用。 本产品推荐用于多种高分子材料及加工应用,包括聚乙烯、聚丙烯农用薄膜、人造草坪、注塑及滚塑制品;以及聚丙烯纤维、聚甲醛、尼龙、聚对苯二甲酸乙二醇酯、聚对苯二甲酸丁二醇酯、丙烯酸酯-苯乙烯-丙烯腈共聚物、丙烯腈-丁二烯-苯乙烯共聚物、高抗冲聚苯乙烯、软质和硬质聚氯乙烯、聚甲基丙烯酸甲酯和聚氨酯基材。 | ||
| 包装 | / | ||









